동향분석
Home > 뉴스브리핑센터 > 동향분석| Real-time tracking of self-reported symptoms to predict potential COVID-19 (Nature Medicine Brief Communication. 2020.05.11 출판) |
|
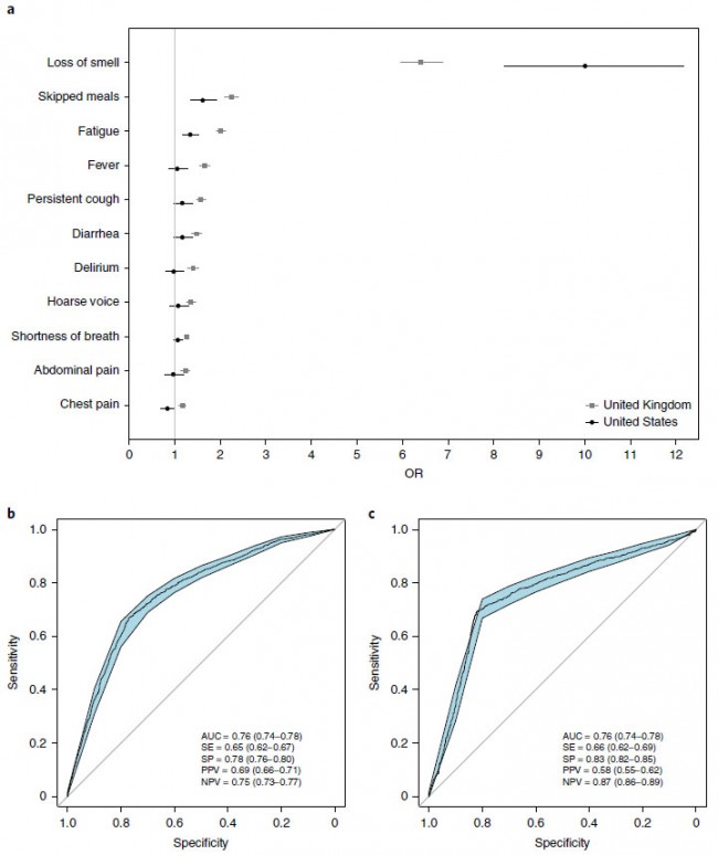
Real-time tracking of self-reported symptoms to predict potential COVID-19 (Nature Medicine Brief Communication. 2020.05.11 출판) 영국과 미국에서 2020년 3월에 개시한 무료 스마트폰 앱으로 실시간으로 수집한 2,618,862명의 증상을 이용하여 COVID-19 감염이 되었는지 자가 체크 시 가장 중요한 증상을 예측하는 모델을 개발하였습니다. 이들 중 18,401명은 COVID-19 진단 검사를 받았습니다. 확진자를 가장 잘 예측하는 증상은 냄새나 맛을 못 느끼는 증상(loss of smell and taste, OR 6.74, 95% CI=6.31-7.21)이 있었고, 그 다음으로는 식사를 거름(skipped meals), 피로(fatigue), 발열(fever), 지속적인 기침(persistent cough) 등의 순으로 나타났습니다. 연구진들은 COVID-19의 통상적인 스크리닝에 냄새나 맛을 못 느끼는 증상을 포함시킬 것을 제안하고 있습니다.
Fig. 1 | Association between symptoms and SARS-CoV-2 infection, and ROCs for prediction of the risk of a positive test. a, Association between symptoms and the odds ratio of SARS-CoV-2 infection in 15,638 UK and 2,763 US participants who were tested via RT-PCR. Error bars represent 95% CIs. b,c, ROCs for prediction in the UK test set (b) and US validation set (c) of the risk of a positive test for SARS-CoV-2, using the following self-reported symptoms and traits: persistent cough, fatigue, skipped meals, loss of smell and taste, sex and age. Values for AUC, sensitivity (SE), specificity (SP), positive predictive value (PPV) and negative predictive value (NPV) are shown, with 95% CIs in parentheses. 더 자세한 내용은 아래의 원문을 확인해 보시기 바랍니다. |










